RC振荡器工作原理
输出电压 uo经正反馈(兼选频)网络分压后,取uf作为同相比例电路的输入信号ui。由运放构成的RC串并联正弦波振荡电路不是靠运放内部的晶体管进入非线性区稳幅,而是通过在外部引入负反馈来达到稳幅的目的。正弦波振荡器是没有输入信号的,带选频网络的正反馈放大器。若用电阻,电容元件组成选频网络,就称为RC振荡器,一般用来产生1Hz-1MHz的低频信号。RC选频网络的选频作用不如LC谐振荡回路,故RC振荡器的波形和稳定度比LC振荡器差。
RC串并联网络振荡电路用以产生低频正弦波信号,是一种使用十分广泛的RC振荡电路。
最简单的RC振荡电路图(一)

图一RC桥式振荡电路
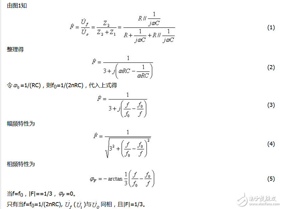
图一是RC桥式振荡电路,这个电路由放大电路和选频网络。为由集成运放所组成的电压串联负反馈放大电路,取其高输入阻抗和低输出阻抗的特点。而则由Z1、Z2和R1、R2组成,同时兼作正反馈网络。由图可知,Z1、Z2和R1、R2正好形成一个四臂电桥,电桥的对角线顶点接到放大电路的两个输入端,RC桥式振荡器电路的名称即由此而来。
下面首先分析RC振荡器电路串并联选频网络的选频特性,然后根据正弦波振荡电路的两个条件选择合适的放大电路指标,以构成一个完整的RC桥式振荡器。
最简单的RC振荡电路图(二)
RC串并联网络振荡电路用以产生低频正弦波信号,是一种使用十分广泛的RC振荡电路。

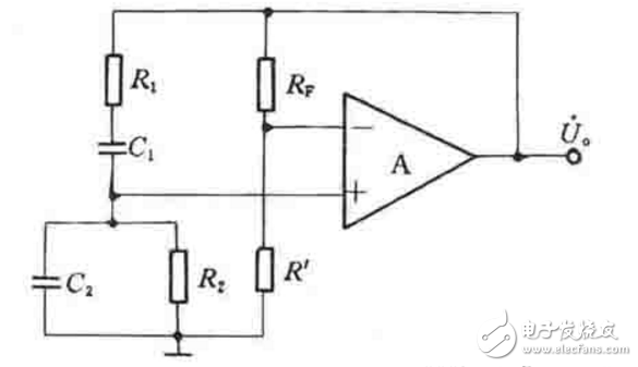
振荡电路的原理图如上图所示。其中集成运放A作为放大电路,它的选频网络是一个由R、C元件组成的串并联网络,RF和R’支路引入一个负反馈。由图可见,串并联网络中的R1、C1和R2、C2以及负反馈支路中的RF和R’正好组成一个电桥的四个臂,因此这种电路又称为文氏电桥振荡电路。
1、RC串并联网络的选频特性
当f=fo=1/2 RC时,Uf的幅值达到最大,等于U幅值的1/3,同时Uf与U同相。
2、振荡频率与起振条件
振荡频率
为了满足振荡的相位平衡条件,要求 ΨA+ΨF=±2nπ。以上分析说明当f=fo时,串并联网络的ΨF=0,如果在此频率下能使放大电路的ΨA=±2nπ,即放大电路的输出电压与输入电压同相,即可达到相位平衡条件。在图1的RC串并联网络振荡电路原理图中,放大部分是集成运放,采用同相输入方式,则在中频范围内 ΨA近似等于零。因此,电路在fo时ΨA+ΨF=0,而对于其他任何频率,则不满足振荡的相位平衡条件,所以电路的振荡频率为

为了使|A|=Auf》3,图1所示振荡电路中负反馈支路的参数应满足以下关系:
RF 》 2R’ (3)
3、振荡电路中的负反馈
根据以上分析可知,RC串并联网络振荡电路中,只要达到|A|》3,即可满足产生正弦波振荡的起振条件。如果|A|的值过大,由于振荡偏度超出放大电路的线性放大范围而进入非线性区,输出波形将产生明显的失真。另外,放大电路的放大倍数因受环境温度及元件老化等因素影响,也要发生波动。以上情况都将直接影响振荡电路输出波形的质量,因此,通常都在放大电路中引入负反馈以改善振荡波形。在图1所示的RC串并联网络振荡电路中,电阻RF和R’引入了一个电压串联负反馈,它的作用不仅可以挺高放大倍数的稳定性,改善振荡电路的输出波形,而且能够进一步提高放大电路的输入电阻,降低输出电阻,从而减小了放大电路对RC串并联网络选频特性的影响,提高了振荡电路的带负载能力。
改变电阻RF和R’阻值的大小可以调节负反馈的深度。RF愈小,则负反馈系数F=R’/ RF+R’愈大,负反馈深度愈深,放大电路的电压放大倍数愈小;反之,RF愈大,则负反馈系数F愈小,即负反馈愈弱,电压放大倍数愈大。如电压放大倍数太小,不能满足|A|》3条件,则振荡电路不能起振;如电压放大倍数不大,则可能输出幅度太大,使振荡波形产生明显的非线性失真,应调整RF和R’的阻值,使振荡电路产生比较稳定而失真较小的正弦波信号。
4、振荡频率的调节
只要改变电阻R或电容C的值,即可调节振荡频率。例如,在RC串并联网络中,利用波段开关换接不同容量的电容对振荡频率进行粗调,利用同轴电位器对振荡频率进行细调。采用这种办法可以很方便地在–个比较宽广的范围内对振荡频率进行连续调节。
最简单的RC振荡电路图(三)
最简单的振荡器

这种振荡器特点是:T≈(1.4~2.3)R*C
电源波动将使频率不稳定,适合小于100KHz的低频振荡情况。
最简单的RC振荡电路图(四)
采用施密特触发器构成的振荡器

采用施密特触发器构成的振荡器
最简单的RC振荡电路图(五)

注意要点:
1、振荡电路的组成、作用、起振的相位条件以及振荡电路起振和平衡幅度条件;
2、RC电路阻抗与频率、相位与频率的关系曲线;
3、RC振荡电路的相位条件分析和振荡频率。
最简单的RC振荡电路图(六)
加补偿电阻的振荡

加补偿电阻的振荡
T≈(1.4~2.2)R*C,电源对频率的影响减小,频率稳定度可控制在5%。
最简单的RC振荡电路图(七)
环行振荡器

环行振荡器
采用TTL反相器,频率可达50MHz。
最简单的RC振荡电路图(八)
采用两三极管构成的振荡器

其中R5=R8,R7=R6,C5=C6。
最简单的RC振荡电路图(九)
频率在10Hz以下的振荡器采用RC振荡器是很适合的。这里采用齐纳二极管来稳定输出幅度,输出的峰-峰电压可在0~4V间调整,频率为6.5Hz。如采用图中括弧内的数值,频率可低至0.01Hz。振荡器吸取的电流约为3mA。

最简单的RC振荡电路图(十)
最具典型性的RC桥式正弦波振荡电路中,以RC串并联振荡电路最常见,如图1所示。

图1 RC串并联振荡电路
将电阻R和电容C串联、电阻R与电容C并联所组成的网络称为RC串并联选频网络,如图1所示。通常,因为RC串并联选频网络在正弦波振荡电路中,既为选频网络,又为正反馈网络。


。 (本文来源网友上传,如有侵权,可联系管理员删除)
版权声明:网站转载的所有的文章、图片、音频视频文件等资料的版权归版权所有人所有。如果本网所选内容的文章作者及编辑认为其作品不宜公开自由传播,或不应无偿使用,请及时联络我们,采取适当措施,避免给双方造成不必要的经济损失。