• 周五. 10 月 17th, 2025

PCB设计之电容篇-电子技术方案|电路图讲解

6 月 7, 2019

1.电容的结构和特性

给导体加电位,导体就带上电荷。但对于相同的电位,导体容纳电荷的数量却因它本身结构的不同而不同。导体能够容纳电荷的能力称为电容。 通常,某导体容纳的电荷Q(库仑)与它的电位V(伏特,相对于大地)成正比,即有电路图, 所以电路图,C就是该导体的电容量。电容的单位是法拉(F), 电路图

 

电路图

图1 电容器的结构和符号

 

如图1(a)所示,在两块平行的金属板之间插入绝缘介质,且引出电极就成为了电容器。它的电路符号见图1(b)所示,分别为有极性电容和无极性电容。

 

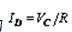
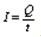
若给电容器充电,电容器的两极板上就会积累电荷。如图2(a)所示为给电容量为C的电容器以恒定电流强 度I充电示意图。假设电容器初始不带电荷,即它两端的初始电压等于零。我们回忆电流的定义:电荷在导体内流动形成了电流,单位时间内流过导体横截面的电荷 量称为电流强度,即有电路图,则电路图,又因在电容器中有电路图,故电路图,所以电路图

 

即电容量为C的电容器在恒定电流强度I的作用下,两端电压V随时间t线性上升,上升曲线如图2(b)所示。

 

电路图

图2 给电容器恒流充电

 

电容器两端的电压越高则所容纳的电荷就越多,即储能就越大。但电容器两极板间绝缘介质的耐电强度是有限的,若两极板间的电场强度太高,就可能将绝缘介质击穿,从而使电容器短路。因此在应用中要兼顾电容器的耐压。

 

结论:电容器在电路中有容纳电荷的作用,也即存储能量的作用。电容器存储能量是需要时间的,因此电容器两端电压不能突变。且电容量越大,可存储的能量就越多。电容器最重的两个参数是它的电容量和耐压。

 

2.RC充放电回路

图3(a)所示电路是以一个RC充放电回路示意图。假设电容器两端的初始电压为零,开关K与1端接通的瞬间,电源通过电阻R对电容器充电,此时电容器的充电电流为最大E/R,若持续以这个电流充电,则VC的上升曲线是一条线性的直线,如图3(b)中的虚线所示。

 

电路图

图3 RC充放电回路

 

但是因在整个充电过程中充电电流为电路图,故随着VC的上升,充电电流强度IC逐渐减小,则VC上升的幅度也逐渐变小,直到上升至电源电压E,同时充电电流为0。这样使实际的VC上升曲线如图3(b)所示。VC是按指数规律上升的,它随时间t变化的表达式为:

电路图

 

其中,电路图为时间常数。

可以看出串联电阻R越大,充电电流就越小,则充电时间就越长;电容量C越大,所需要的电荷就越多(即储能越多),充电时间也就越长。

 

当电容充满电后,VC等于E。此时开关K与2端接通,则电容器通过R放电,放电电流为电路图,VC逐渐降低。在接通2端的瞬间,放电电流为最大电路图,但随着VC的降低,放电电流也逐渐降低,直至VC为0V,放电电流也为0。这样以来,电容放电时VC的下降曲线如图1.7(c)所示。VC也是按指数规律下降的,它随时间t变化的表达式为:

电路图

。 (本文来源网络整理,目的是传播有用的信息和知识,如有侵权,可联系管理员删除)

版权声明:网站转载的所有的文章、图片、音频视频文件等资料的版权归版权所有人所有。如果本网所选内容的文章作者及编辑认为其作品不宜公开自由传播,或不应无偿使用,请及时联络我们,采取适当措施,避免给双方造成不必要的经济损失。