• 周五. 10 月 17th, 2025

三极管放大电路原理-电子技术方案|电路图讲解

3 月 15, 2019

三极管放大电路原理

一、放大电路的组成与各元件的作用

Rb和Rc:提供适合偏置——发射结正偏,集电结反偏。C1、C2是隔直(耦合)电容,隔直流通交流。

电路图

共射放大电路Vs,Rs:信号源电压与内阻;RL:负载电阻,将集电极电流的变化△ic转换为集电极与发射极间的电压变化△VCE

电路图

二、放大电路的基本工作原理

静态(Vi=0,假设工作在放大状态)分析,又称直流分析,计算三极管的电流和极间电压值,应采用直流通路(电容开路)。

基极电流:IB=IBQ=(VCC-VBEQ)/Rb集电极电流:IC=ICQ=βIBQ集-射间电压:VCE=VCEQ=VCC-ICQRc动态(vi≠0)分析:

电路图

电路图

电路图

放大电路对信号的放大作用是利用三极管的电流控制作用来实现,其实质上是一种能量转换器。

三、构成放大电路的基本原则

放大电路必须有合适的静态工作点:直流电源的极性与三极管的类型相配合,电阻的设置要与电源相配合,以确保器件工作在放大区。输入信号能有效地加到放大器件的输入端,使三极管输入端的电流或电压跟随输入信号成比例变化,经三极管放大后的输出信号(如ic=β*ib)应能有效地转变为负载上的输出电压信号。

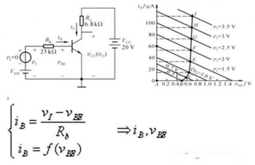
电压传输特性和静态工作点

一、单管放大电路的电压传输特性

图解分析法:

电路图

电路图

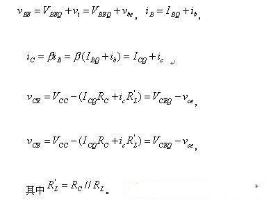
输出回路方程:

电路图

输出特性曲线:

电路图

AB段:截止区,对应于输出特性曲线中iB<0的部分。

BCDEFG段:放大区

GHI段:饱和区

。 (本文来源网络整理,目的是传播有用的信息和知识,如有侵权,可联系管理员删除)

版权声明:网站转载的所有的文章、图片、音频视频文件等资料的版权归版权所有人所有。如果本网所选内容的文章作者及编辑认为其作品不宜公开自由传播,或不应无偿使用,请及时联络我们,采取适当措施,避免给双方造成不必要的经济损失。