电流探头是示波器测量电流的必备配件,但不同品牌之间价格往往差别很大,到底什么样的电探头才是可靠的呢?这里分享了电流探头可靠性验证的完整过程,并呈现所有实测结果,您也可依据此法对自己使用的电流探头进行验证。 本文针对ZCP0030-50电流探头进行了全方位性能参数验证, 主要测试参数包括直流精度、上升时间、方波响应、噪声、以及开关电源开关管电流波形实测。为了让实测结果更加直观,我们选择T公司的TCP312电流探头作为实测对比,并且在所有测试配有图片和测试结果,保证测试过程可追溯。
一、直流精度验证 ZCP0030-50标称直流精度为1%rdg±1mV,实测精度如表1所示。
1、测试条件 精度测试所使用试仪器为FLUKE5720校准器、六位半万用表DMM6000。测试步骤,校准器FLUKE5720输出不同的被测电流值,万用表读取电流探头的响应电压值。
图 2.1 直流精度测试环境 2、精度数据
表 2.1 直流精度测试数据
3、验证结论 上表格的数据显示,ZCP0030-50在量程范围内的直流精度在1%rdg±1mV以内。
二、上升时间验证 ZCP0030-50的带宽是50MHz,对应上升时间≤7ns。探头上升时间是指测试脉冲时,测量系统响应波形从稳态值的10%上升到90%所需要的时间,是一个很关键的参数,上升时间越快,说明探头的响应越快,能测到更加快速变化的电流波形,还原电流波形的性能越好。
1、测试条件 测试电流探头的上升时间使用的测试仪器是信号发生器Keysight33600和示波器ZDS2022。信号发生器产生上升时间为5ns的方波,示波器显示经过电流探头后的上升波形和时间。
2、波形数据
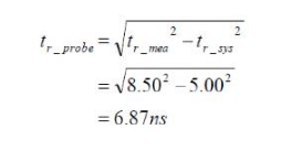
图 3.1 ZCP0030-50的上升时间 如图 3.1所示,根据示波器测量到的上升时间为8.5ns,这个总时间是信号发生器自身的上升时间加上探头的上升时间,所以实际上探头的上升时间还需要将总时间减去信号发生器自身的上升时间,具体的计算公式如下。
3、验证结论 实测结果在理论计算范围内,上升时间正常,实测带宽在50MHz以上。
三、方波响应验证 方波响应主要是用来简易测试电流探头幅频响应特性的测试方法。电流探头能够完整的重现方波波形,不出现畸变,说明探头的幅频响应平坦,是良好的。
1、测试条件 测试电流探头的方波响应时,使用的测试仪器是信号发生器Keysight33600和示波器ZDS2022。信号发生器产生电流峰峰值为100mA,频率分别1KHz、100KHz、1MHz为的方波,示波器显示相对应的方波波形。
2、波形数据 如图3所示,在测试1KHz的电流方波时,探头的方波响应是很好的,波形基本上没有畸变,波形比较平坦,没有发生倾斜等。
图3 1KHz电流方波响应 如图4所示,在测试100KHz的电流方波时,探头的方波响应是很好的,波形基本上没有畸变,波形比较平坦,没有发生倾斜等。
![]()
图 4 100KHz电流方波响应 如3所示,在测试1MHz的电流方波时,探头的整体方波响应的波形基本上没有畸变,波形比较平坦,没有发生倾斜等。
![]()
图5 100KHz电流方波响应 如图5所示,在测试1MHz的电流方波时,探头的整体方波响应的波形基本上没有畸变,波形比较平坦,没有发生倾斜等。
3、验证结论 实测结果在理论计算范围内,幅频响应平坦。
四、噪声评测 噪声是电流探头的重要参数,噪声的大小直接影响到探头的分辨率,噪声越小,分辨率越高。
1、测试条件 噪声测试主要是使用示波器ZDS2022来观察测试,并记录相应的测试值。
2、精度数据 如图6所示,测试出来的电流探头的实际噪声的峰峰值小于10mA,交流有效值小于1mArms。
图6 噪声测试 3、验证结论 实测结果在理论计算范围内,噪声控制良好。
。 (本文来源网络整理,目的是传播有用的信息和知识,如有侵权,可联系管理员删除)
版权声明:网站转载的所有的文章、图片、音频视频文件等资料的版权归版权所有人所有。如果本网所选内容的文章作者及编辑认为其作品不宜公开自由传播,或不应无偿使用,请及时联络我们,采取适当措施,避免给双方造成不必要的经济损失。