• 周六. 10 月 18th, 2025

开关混频器的原理及实现-电路图讲解-电子技术方案

6 月 18, 2019

  详细推导了开关混频的数学过程,并在此基础上给出了其具体实现方式。理论和实践表明,基于模拟开关的混频方式可以克服传统非线性元件或者乘法器混频方式的缺陷,消除本振信号的影响,最大限度地保留输入信号的参数信息。  


0引言*基金项目:国家自然科学基金项目(11602300) 通常混频采用非线性元件或者专用的乘法器来实现,这种混频方式不可避免地会在输出信号中引入本振信号的幅度和相位信息,这往往是所不希望的。并且不论非线性元件或者专用的乘法器都会产生很多干扰和失真,包括干扰哨声、寄生通道干扰、交叉调制失真、互相调制失真,这些均会对接收机性能产生不良影响。开关混频方式可以有效抑制以上因素的影响。  


1混频原理 混频电路也叫变频电路(Mixer, Convertor),是超外差接收机的重要组成部分,它可实现不失真的频谱搬移[1]。   通常实现混频可以采用多种方式,最常用的是相乘电路,它可以采用非线性器件或者专用的集成电路乘法器来实现。假设乘法器的两个输入信号分别为:   v1=Acos(ω1t+φ1),v2=Acos(ω2t+φ2),   则其输出为:   vo=AB2{cos [(ω1+ω2)t+(φ1+φ2)]+cos[(ω1-ω2)t+(φ1-φ2)](1)   对于接收机来说,通常只关心信号的低频分量,因此可通过一级低通滤波器取其低频分量[2],则其输出可写为:   vo=AB2cos[(ω1-ω2)t+(φ1-φ2)](2)   显然乘法器输出信号幅值、相位和频率与两个输入信号均相关。   

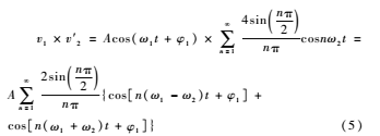
 而对于接收机来说,只关心接收的回波信号参数变化对接收机输出的影响,而不希望过多引入本振信号的参数。同时由于乘法器属于非线性器件,因此会产生很多干扰和失真,包括干扰哨声、寄生通道干扰、交叉调制失真、互相调制失真等,而且当输入信号幅值增大时,由于幅度相乘的作用,输出信号很有可能会出现限幅,因而发生失真[3]。这些因素都会极大地影响接收机的性能,因此乘法器并不是实现接收机混频电路的最佳选择。开关混频可以有效克服模拟乘法器缺陷。   2开关混频原理 同样假设输入信号和本振信号分别为:   v1=Acos(ω1t+φ1),   v2=Acos(ω2t+φ2),   现在取与v2同频的方波信号v′2则有:     将其展开成傅里叶级数可得:     显然v′2是以ω2为基波的多次谐波的集合[4],因此同样可以采用v1与v′2混频,然后取其基波的方式获得v1与v2混频的结果。   于是信号v1和方波信号v′2的混频可以写成:     则经过低通滤波器,滤除和频以及差频高次谐波可得:     

 由式(6)可以看出,混频后的最终结果是幅值和相位都只和输入信号有关,频率为输入信号与本振信号差值的信号。显然以这样的方式混频可以最大程度保持信号的原始信息,而尽量减小本振信号的影响。   3开关混频器实现 基于以上的开关混频原理,v1与v′2混频可表示为:   @T3VI}N_7@(07]N1}R8`(AH.png   由式(7)可以看出,v1与v′2混频相当于在v′2的正电平期间输出v1,在v′2的负电平期间输出-v1,因此可以采用模拟开关来实现混频[5]。具体实现方法如图1所示。       

 输入信号v1分成两路,一路为v1,另一路为-v1,分别输入两个模拟开关,模拟开关的通断受信号v′2控制,正电平时上面的模拟开关导通,相应地输出v1,负电平时下面的模拟开关导通,相应地输出-v1,显然这样的结果与式(7)吻合。如此就实现了v1与方波信号v′2的乘法,完成了信号混频。显然这种方式输出信号幅度和相位只取决于输入信号v1,而与方波信号v′2无关。其波形如图2所示。

     

 混频后的输出结果含有高次谐波,因此需要后续采用低通滤波处理才能得到v1与v2的差频信号。  


4结论 由以上分析可知,开关混频同样也可以实现两信号乘法,并且输出信号的相位和幅度仅和输入信号相关,而与本振信号无关,因此更加有利于后续电路对输入信号的检测以及相关参数的识别处理。   对于多路输入的接收机系统来说,开关混频方式更加有利于消除由于本振信号的不一致而引入的参数畸变,提高接收机对有效目标信号的识别处理能力。  

                                          

。 (本文来源网络整理,目的是传播有用的信息和知识,如有侵权,可联系管理员删除)

版权声明:网站转载的所有的文章、图片、音频视频文件等资料的版权归版权所有人所有。如果本网所选内容的文章作者及编辑认为其作品不宜公开自由传播,或不应无偿使用,请及时联络我们,采取适当措施,避免给双方造成不必要的经济损失。