• 周六. 10 月 18th, 2025

无电解电容LED驱动电源恒流及纹波控制-电路图讲解-电子技术方案

4 月 13, 2019

引言

照明LED具有功耗低、寿命长、对环境影响小、效率高的优点,使得LED技术变得越来越受欢迎。在功率转换器中,电解电容具有较低的成本和优良的性能,通常被用于稳定瞬时输入和输出功率。然而,电解电容器使用寿命相比其他器件更短,研究表明,在LED驱动电源故障中,以电解电容失效故障最为普遍,电解电容的寿命通常为5 000 h/105 ℃,其一直以来都是电源产品寿命的瓶颈。因此,电解电容器对于保证LED照明装置的预期寿命非常重要。为此,人们提出各种各样的解决方案来去除大体积、短寿命的电解电容。但是转换器的输出节点上会造成了120 Hz的纹波电流,为减少120 Hz脉动成分,可以使用并联LC滤波器。这里面的电解电容不仅会增加成本,还要求过多的印刷电路板空间。现有技术包括:(1)对驱动电源的输入电流波形进行调制,通过降低输入脉动功率的峰均比来减小输入、输出功率的不平衡;(2)采用大电感和较大尺寸的薄膜电容来平衡输入、输出功率之间的差值,虽然取得了一定的效果,但无源储能元件的体积大、重量重;(3)增大纹波和向输入电流加入三次和五次谐波,从而实现去除电解电容目的。这些方法是对现有控制或功率电路进行改进,其思想大致可以分两类: 一是保留原来的拓扑,对控制方法进行改进; 二是构造新的电路拓扑。

 

为了实现PFC(Power Factor Correction)和DC-DC转换的同时性,去除在单级电源下低频产生的闪烁现象,有人提出了能量储存装置。采用双向转换器替代大容量储能电容器。此方案的缺点是输出能量被转换三次才送至输出端。还有人提出了在功率因数和所需输出电容之间平衡的设计。然而,这个方案是以牺牲输入电流谐波和功率因数性能来达到目的[1]。在文献[2-5]中使用多个开关的单级拓扑结构,在输出级使用双向降压-升压电路来吸收PFC转换器脉动电流中的交流分量,通过在电源电路中使用多个快恢复二极管来实现交换技术,文献[6-7]讨论了采用耦合电感的PFC技术,PFC开关需要处理PFC电感电流和LED电流,开关需承受非常大的电流和电压,这使得效率很低。本文提出无电解电容的反激变换器方案,使用一个双向Buck-Boost纹波电流消除电路,使用容量小的薄膜电容同样使输出纹波电流非常小,双向Buck-Boost转换器调节输入来维持输出功率恒定。

 

1 电路结构与原理

 如图1所示,开关Q2使反激变换器工作在DCM模式下实现PFC的功能;Q1和Q3彼此补充。L1和C1作为双向降压-升压转换器的存储装置,而C2和L2组成了输出电流的高频滤波器。其中Lm为初级绕组侧电感,此耦合电感是电路的关键组成部分,它具有两个主要功能:(1)它在一个线周期内将所需能量的一部分反馈给直流母线电容器从而可以减小纹波抑制电容;(2)串联连接的电感Lm和开关Q2在LED的输出端提供了一个高频脉动电流。当输入功率Pin低于输出功率Po时,工作原理可分为四种状态。当输入功率Pin高于输出功率Po时,除了iL1的电流反方向流动外,工作原理与输入功率Pin低于输出功率Po情况类似。

 

 

设输入电压为:

 

 

在一个开关周期内,该变换器存在四种开关模态,其工作情况描述如下。

 

状态1[t0~t1]:当t=t0时,打开Q2和Q3,关闭Q1,输入的能量Vin被存储在Lm中,然后CO释放能量给LB和LED,该状态在t=t1关闭Q2时结束。

 

状态2[t1~t2]:当t=t1时,关闭Q2,保持Q3接通,关闭Q1,并且DS也是导通的,被存储在Lm中的能量释放给CO、LB和LED,该状态在t=t2时Lm完全放电时结束。

 

状态3[t2~t3]:当t=t2时,保持Q3接通,保持Q1和Q2断开,CO释放能量给LB和LED,该状态在t=t3时关闭Q3打开Q2时结束。

 

状态4[t3~t4]:当t=t3时,保持Q3接通,保持Q2和Q1断开,CO释放能量给LB和LED,该状态在t=t4时关闭Q3打开Q1时结束。

 

2 无电解电容实现

当单级电源已经实现了很高的功率因数时,在LED电源的输入端和输出端之间就会存在能量之间的平衡。为了适应这一能量的差异,一个大容量电容不可缺少,电解电容器的寿命大大限制了LED电源的使用寿命,因此消除电解电容器是很有意义的。

 

图2显示了在半个线周期内电源的输入输出侧双方存在能量的不平衡。这种能量的不平衡由PFC输出端的低频纹波电流显示出来。LED电源的全部能量几乎都是由Vo1输出来的。能量的不平衡和电压波动的关系可以由式(4)表示:

 

 

 

 

 

 

 

 

 

 

对于一个输出功率10 W的电源在60 Hz线频率下半个周期内的不平衡能量Eimbalance是0.027 3 J。Vo1允许有9 VP-P的低频纹波电压,因此所需的输出电容可以低于55 μF。这个电容可以用陶瓷电容代替电解电容。在前期实验中,可以用3个20 μF陶瓷电容器替代,并连接到输出电压Vo1端。

 

3 输入电流分析和电路特性

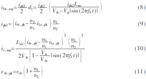
在电路的输入端,PFC通过Lm在断续工作模式(DCM)进行控制。基本的,通过二极管D2的电流会随着直流母线电压vdc包络变化而变化。用Vp和fL代表输入电压峰值和线路频率,则校正电压vr由式(6)表示。放电部分占空比d由式(7)给出。

 

 

通过D2的平均电流由式(8)给出,ipk2由式(9)给出,平均输入电流可以由式(10)给出,它表明输入电流的形状受到Vp和Vdc的比例影响。当Vdc接近Vp时,输出电流变得更加扭曲。

 

 

。 (本文来源网络整理,目的是传播有用的信息和知识,如有侵权,可联系管理员删除)

版权声明:网站转载的所有的文章、图片、音频视频文件等资料的版权归版权所有人所有。如果本网所选内容的文章作者及编辑认为其作品不宜公开自由传播,或不应无偿使用,请及时联络我们,采取适当措施,避免给双方造成不必要的经济损失。