用一个晶体管为主件的电路同时产生振荡和扫频是不多见的,一般都是由一个低频振荡信号去控制另一个高频振荡。图1示出了一个单结晶体管为主的电路产生扫频式的振荡脉冲。由单结管和阻容元件所组成的自激张弛振荡电路的原理是比较普通的。为了达到扫频的目的,一般在单结管的射极上加上低频振荡器产生的。
单管扫频式振荡电路图
本电路的特点是由一个单结管同电路时担负这两个任务,电路相当精简。现按由示波器观察到的各点波形(图2)来解释扫频和振荡的梗概。

图1

图2
单管扫频式振荡电路分析
由图2可见,V2小于单结管的导通电压VP从t1时刻开始,电路中有两条充电回路,E→R1→C→地和E→R1→R2→C2→地。前一条充电回路的时间常数远大于后一条回路的时间常数,在一个△t(T2《△t《T1)时段内,当C2上的充电电压V2到Vp时,C2上的电荷即由单结管的‘e-b1结得到泄放,从而形成高频振荡。当V1上升后。经过后一条充电回路的充电电流将会增加,即后一条充电回路的等效电阻或时间常数将会减小,使V2的上升速率加快,形成更高频串的振荡。当△t移至t2,V1上升到一个定值时,C1上的电荷将通过R2由单结管的e-bl结泄放。完成了一个低频周期。这样周而复始,在R上取得了自扫的振荡脉冲。
从理论上讲,由R1、R2、C1和C2所组成的两节积分电路在阶跃激励之下,选择合适的R1、R2、C1和C2,使得R和R可变的等效电阻的负载线均落在单结管的负阻区,并使高频的变化范围满足设计的要求。从电容器的端电压来分析问题则是C1和C2,尤其是C1上的电荷应同样能从单结管上得到泄放。运用拉氏变换可求得t1时刻的V1和V2,但比较繁复。我们可以先按照对低频f1和高频f2变化范围的要求选定C1和C2,粗定R1和R2,再在调试中确定R1和R2。
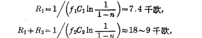
假设单结管的分压比n=0.6,要求低频f1=1.5赫,高频变化范围f2=18~36千赫。由于fa》fu取C1=100微法,C2=3300微微法,则

取W1=10千欧,R2=10千欧(均采用可变电阻器)。R3和R4的选取不再赘述,其数值均标于图1中。考虑至能使用电池,电源选用6伏。
。 (本文来源网友上传,如有侵权,可联系管理员删除)
版权声明:网站转载的所有的文章、图片、音频视频文件等资料的版权归版权所有人所有。如果本网所选内容的文章作者及编辑认为其作品不宜公开自由传播,或不应无偿使用,请及时联络我们,采取适当措施,避免给双方造成不必要的经济损失。