太阳能家庭发电系统由太阳能电池组、太阳能控制器、蓄电池(组)组成。如输出电源为交流220V或110V,还需要配置逆变器。
系统分类
太阳能家庭发电系统分为离网发电系统与并网发电系统:
1、离网发电系统。主要由太阳能电池组件、控制器、蓄电池组成,若要为交流负载供电,还需要配置交流逆变器。
2、并网发电系统就是太阳能组件产生的直流电经过并网逆变器转换成符合市电电网要求的交流电这后直接接入公共电网。并网发电系统有集中式大型并网电站一般都是国家级电站,主要特点是将所发电能直接输送到电网,由电网统一调配向用户供电。但这种电站投资大、建设周期长、占地面积大,发展难度较大。而分散式小型并网发电系统,特别是光伏建筑一体化发电系统,由于投资小、建设快、占地面积小、政策支持力度大等优点,是并网发电的主流。
组成。如输出电源为交流220V或110V,还需要配置逆变器。

系统组成
1)太阳能板
太阳能电池板是太阳能家庭发电系统中的核心部分,太阳能电池板的作用是将太阳的光能转化为电能后,输出直流电存入蓄电池中。太阳能电池板是太阳能家庭发电系统中最重要的部件之一,其转换率和使用寿命是决定太阳电池是否具有使用价值的重要因素。 组件设计:按国际电工委员会IEC:1215:1993标准要求进行设计,采用36片或72片多晶硅太阳能电池进行串联以形成12V和24V各种类型的组件。该组件可用于各种户用光伏系统、独立光伏电站和并网光伏电站等。
2)太阳能控制器
太阳能控制器是由专用处理器CPU、电子元器件、显示器、开关功率管等组成。
3)蓄电池
蓄电池的作用是在有光照时将太阳能电池板所发出的电能储存起来,到需要的时候再释放出来。太阳能蓄电池是‘蓄电池’在太阳能光伏发电中的应用,主要采用铅酸免维护蓄电池、普通铅酸蓄电池,胶体蓄电池和碱性镍镉蓄电池四种。 国内广泛使用的太阳能蓄电池主要是:铅酸免维护蓄电池和胶体蓄电池,这两类蓄电池,因为其固有的“免”维护特性及对环境较少污染的特点,很适合用于性能可靠的太阳能电源系统,特别是无人值守的工作站。
4)逆变器
太阳能的直接输出一般都是12VDC、24VDC、48VDC。为能向220VAC的电器提供电能,需要将太阳能家庭发电系统所发出的直流电能转换成交流电能,因此需要使用DC-AC逆变器。

工作原理
光伏发电是利用半导体界面的光生伏特效应而将光能直接转变为电能的一种技术。这种技术的关键元件是太阳能电池。太阳能电池经过串联后进行封装保护可形成大面积的太阳电池组件,再配合上功率控制器等部件就形成了光伏发电装置。光伏发电的优点是较少受地域限 制,因为阳光普照大地;光伏系统还具有安全可靠、无噪声、低污染、无需消耗燃料和架设输电线路即可就地发电供电及建设周期短的优点。
光伏发电是根据光生伏特效应原理,利用太阳能电池将太阳光能直接转化为电能。不论是独立使用还是并 网发电,光伏发电系统主要由太阳能电池板(组件)、控制器和逆变器三大部分组成,它们主要由电子元器件构成,不涉及机械部件,所以,光伏发电设备极为精 炼,可靠稳定寿命长、安装维护简便。理论上讲,光伏发电技术可以用于任何需要电源的场合,上至航天器,下至家用电源,大到兆瓦级电站,小到玩具,光伏电源 无处不在。太阳能光伏发电的最基本元件是太阳能电池(片),有单晶硅、多晶硅、非晶硅和薄膜电池等。单晶和多晶电池用量最大,非晶电池用于一些小系 统和计算器辅助电源等。
系统优劣
优点
1、太阳能取之不尽,用之不竭,地球表面接受的太阳辐射能,能够满足全球能源需求的1万倍。只要在全球4%沙漠上安装太阳能光伏系统,所发电力就可以满足全球的需要。太阳能发电安全可靠,不会遭受能源危机或燃料市场不稳定的冲击;
2、太阳能随处可处,可就近供电,不必长距离输送,避免了长距离输电线路的损失;
3、太阳能不用燃料,运行成本很低;
4、太阳能发电没有运动部件,不易用损坏,维护简单,特别适合于无人值守情况下使用;
5、太阳能发电不会产生任何废弃物,没有污染、噪声等公害,对环境无不良影响,是理想的清洁能源;
6、太阳能发电系统建设周期短,方便灵活,而且可以根据负荷的增减,任意添加或减少太阳能方阵容量,避免浪费。
缺点
1、地面应用时有间歇性和随机性,发电量与气候条件有关,在晚上或阴雨天就不能或很少发电;
2、能量密度较低,标准条件下,地面上接收到的太阳辐射强度为1000W/M^2。大规格使用时,需要占用较大面积;
3、价格仍比较贵,为常规发电的3~15倍,初始投资高。

太阳能家庭发电系统设计详解
1、家庭式太阳能发电系统整体设计步骤

如图3-1为家庭式太阳能发电系统设计步骤框图。家庭式太阳能光伏发电系统的设计分为软件设计和硬件设计,软件设计先于硬件设计。软件设计包括:负载用电量的计算,太阳能电池方阵面辐射量的计算,太阳能电池和蓄电池容量的计算,太阳能电池方阵安装倾角的计算,系统运行情况的预测和系统经济效益的分析等。硬件设计包括:负载的选型及必要的设计,太阳能电池和蓄电池的选型,太阳能电池支架的设计,逆变器的选型和设计,以及控制系统选型和设计。由于软件设计牵涉到复杂的太阳能辐射量、安装倾角以及系统优化的设计计算,一般是由计算机来完成的;在要求不太严格的情况下,也可以采取估算的办法。
在设计计算中,需要的基本数据主要有:现场的地理位置,包括地点、纬度、经度和海拔等;安装地点的气象资料,包括逐月的太阳能总辐射量、直接辐射量及散辐射量,年平均气温和最高、最低气温,最长连续阴雨天数,最大风速及冰雹、降雪等特殊气象情况。气象资料一般无法做出长期预测,只能以过去10年到20年的平均值作为依据。另外,从气象部门得到的资料,一般只有水平面的太阳辐射量,实际使用时必须设法换算到相应阵列倾斜面上的辐射量。对于偏远地区的太阳辐射数据可能并不类似于附近的城市,可采用邻近某个城市的气象资料或类似地区气象观测站所记录的数据进行类推。
2、 光伏方阵最佳倾角计算
由于太阳光照射到地面的角度时时刻刻都在变化,而太阳能电池只有在日光直射的时候发电的效率是最高的,因此太阳能电池方阵布置有两种方法: 一种是安装向日跟踪系统; 另外一种是根据计算确定最佳安装角度安装太阳能电池方阵。前者可以提高太阳能电池的发电效率,但成本很高,后一种虽然效率没有前者高,但建设成本较低,综合考虑采用第二种方法。
(1)计算方法




(3-1)式中ρ为地物表面反射率。一般情况下,最后一项地面反射辐射量很小,只占HT的百分之几。式中H为水平面上总辐射量。ρ为地面反射率,范围大致为0.2~0.7,通常取ρ=0.2。在实际应用时,倾角的计算结果精确到1°已经足够。具体计算过程相当复杂,为此可利用计算机软件,只要输入安装地点的太阳辐射资料及地理纬度等数据,即可算出任意倾角下的平均日辐射量,最后确定当地的最佳倾角及各月平均日辐射量[10]。
(2)平均峰值日照时数计算
由太阳能电池倾斜面方阵上有辐射资料的历年逐月日平均太阳能辐射量可求出全年平均日太阳辐射量HT,,并用单位mWh/cm2表示,除以标准日太阳辐射照度,即可求出平均峰值日照时数T0,如式(3-7)所示。

(3)驻马店地区的气象资料
驻马店位于河南中南部,北接漯河,南邻信阳,地处淮河上游的丘陵平原地区。位于北纬32°18´—33°15´,东经113°10´—115°12´,地处亚热带与暖温带的过渡地带,具有亚热带与暖温带的双重气候特征,是典型的季风型半湿润气候。主要特点是:季风分明、四季分明、温湿适中、雨热同季。年平均太阳辐射总量112~120千卡/平方厘米,年平均日照时数约为2000~2200小时。全年平均气温15℃,极端最低气温-21℃,极端最高气温达44℃。全市多年平均降水量为920mm,南部多于北部,西部多于东部。常年主导风向冬季为西北风和北风,夏季为东南风和南风,最大风速为25米/秒。

根据驻马店地区的历年逐月日平均辐射量及驻马店地区的纬度经计算驻马店地区平均实际日照时数7小时;平均峰值日照时数(组件表面上)为4.33小时;最小的日峰值日照时数为3.68小时;驻马店地区的太阳能电池组件最佳倾角为41°。结果见表(3-3)所示。

3、家庭日用电负荷计算
本次试验设计所用的家庭负荷量数据采用调查访问的形式获得,对普通家庭式日常用电负荷进行调查,计算统计出家庭常用负荷的功率及其用电时数,表3-4为普通家庭日常负荷表。

由统计表知普通家庭家用负载总功率约为1.78KW;每日耗电量L约为5.77kW.h 。
4、电池组件的确定
太阳能电池组件板的功率

式中,L为负载每天总耗电量;T0为平均峰值日照时数;η1为蓄电池充电效率(0.80~0.90);η2为方阵方阵组合损失表面由于尘污遮蔽或老化引起的修正系数,通常可取0.9~0.95;η3为逆变器的转换效率,通常可取0.9~0.98。K为考虑一些未知工作因素,而引入的安全系数,可根据电压等级,数据准确程度,运行环境等,在1.05~1.30之间选取。
由日耗电量L=5.77kW.h,可计算出该系统需要太阳能电池板的总功率
PA=1.67KW,由此可以选择总功率为1.7KW的太阳能组件,一般采用太阳能电池标准组件,通过串并联构成所需要功率的太阳能电池方阵。该系统可采用36块每块电压为0.5V,功率为2.8W的太阳能电池板串联成面积125&TImes;125,电压18V,功率100W单晶太阳能电池组件,再用17块该太阳能组件进行并联使用。
5、蓄电池容量的确定
在独立型家庭式太阳能光伏发电系统中,蓄电池是仅次于光伏组件的最重要部件,而且随着光伏组件价格的不断降低,蓄电池在总投资中的比例正在逐渐增加。所以,合理配置蓄电池容量十分重要:容量过大,不仅增加投资,而且会造成蓄电池充电不足,长期处于亏电状态,加上自放电等原蓄电池容量因,蓄电池容易损坏;容量太小,容易造成过放电,不能满足负载用电需要。参考《《RAPS Design Manual》》和《《Applied Photovoltaics》》两个文献,蓄电池容量的计算可以根据用电负荷和连续阴雨天数来确定,实际计算可按式(3-9)

式中,C-蓄电池容量, S-蓄电池供电支持的天数(一般取2.5~5.0d), L-负载平均每天用电量,;DOD-蓄电池放电深度(一般取0.8), ηout -从蓄电池到负荷的效率:ηout = Fo&TImes;Fi, Fo-交流配电电路效率(一般取0.95),Fi-逆变器效率(一般取0.90~0.98),K-蓄电池放电容量修正系数(一般取1.2)等于蓄电池Amp-hour效率的倒数。 根据系统要求计算日耗电量L=5.77kW.h,再根据式(3-9),可算出蓄电池组的容量C值为27.91kWh,选择12V的标称电压铅酸蓄电池单体,串联成24 V电池蓄电池组;根据电池组容量安时数等于所需瓦时除以电池组电压,得电池组的容量C′= C/24 = 1162.86Ah,所以可选择12个12 V,200 Ah的密封免维护铅酸蓄电池先两两串联后再进行并联,即可接成满足需要的蓄电池组。
6、逆变器和控制器的确定
根据用户的负载实况要求计算出负载总功率为P负为1.77KW,由于负载的总功率大于逆变器总功率的80%时,逆变器会发热过度减少逆变器的使用寿命,所以选择逆变器时需要有设计余量,一般逆变器的功率计算为P逆= P负/η ,一般η取80%,则P逆为1.77kW/80% =2.22KW,所以需要选用3KW的逆变器。
太阳能电池板需要的时均总功率为PA为1.7KW ,由于采用24 V电池,因此系统最大电流约为PA/24 =70.8 A,我们可选择24 V 80A的控制器。
7、太阳能组件安装设计
本次设计选定的驻马店地区位于北纬32.58o,经计算太阳能电池组件最佳倾角为41o,;比较理想的安装位置是将太阳能电池板直接安装在屋顶上,依据屋顶的倾角合理安排,依托不锈钢支架安装太阳能电池板。
一般情况下,我们在计算发电量时,是在方阵面完全没有阴影的前提下得到的。因此,如果太阳电池不能被日光直接照到时,那么只有散射光用来发电,此时的发电量比无阴影的要减少约10%~20%。通常,在电池组件周围有建筑物及山峰等物体时,太阳出来后,建筑物及山的围会存在阴影,因此在选择铺设太阳能组件的地方时应尽量避开阴影。如图3-2与图3-3 为家庭式太阳能发电系统的初步设计框图,图3-4为家庭式太阳能发电系统连接框图



8、家庭式太阳能系统的效益分析
8.1、系统的投资预算
系统设备具体选择如下:
(1)太阳能电池组件:选用选用中国深圳市鑫光源太阳能科技有限公司的的多晶硅XGY-100P系列太阳能电池组件17块进行并联。性能优势:高透光率的刚性玻璃,提高光的穿透性和组件的机械强度,组件玻璃具有自清洁能力,降低灰尘及其他影响组件发电效率的机率;对所有组件进行功率和电流分档,以提高系统整体性能和组件的寿命;防水接线盒和集成旁路二极管,以减少太阳能电池组件因表面被遮挡造成的热斑效应从而引起的组件损伤;通过多项国际认证和测试IEC, Tuv, CE, ISO,提供五年的产品质量保证和10-25年的产品功率保证。工作参数指标:最大功率 100W;工作电流 5.88A;工作电压 17.2V;系统电压 12V;开路电压 21V;短路电流 6.5A;电池数量 36只;外形尺寸 1161&TImes;670&TImes;35(mm);参考重量 8.6KG。
(2)蓄电池电池组:选用中国深圳环宇昌电池有限公司的铅酸电池,选择容量为200Ah的12块电池,两两串联后再进行并联。工作参数指标:电压:12 V;型号:HYS122000 ;化学类型:免维护; 电液量:标准 L;外型尺寸:327*172*225 mm;额定容量:200Ah ;重量:29.8KG。由此知防反充二极管的耐压值可取35V。
(3)控制器:选用中国北京普泰日盛的大功率控制器。性能优势:可根据不同的使用环境调整参数,最大效率的进行光-电能量转换;淘汰了传统控制器落后的技术,采用了全新的硬件技术;采用真正的多级PWM充电模式,有效延长蓄电池寿命;具有过充、过放、过热、电子短路、过载保护,防反接等完善的保护功能;温度适应范围(-25℃–55℃),并自带温度补偿程序,令控制器在充放电控制中自动适应当前温度,有效保护蓄电池。工作参数指标:额定电压12V/24V/48V/220V,过充电压14.4V、×2/24V,过放电压11.1V、×2/24V,负载能力40A/60A/80A/100A/120A。
(4)逆变器:选用中国北京普泰日盛的中等功率逆变器。性能优势:逆变器核心元器件全部为美国原装进口,安全、稳定、可靠;标准工频纯正弦波输出,适用于任何负载;抗冲击能力强,150%过载可工作20s,最大程度避免客户在使用不当的时造成设备损坏;输入、输出回路完全隔离,确保用户安全使用;完善的保护功能:自动稳压、过压保护、欠压保护、过载保护、短路保护、过热保护、直流端防反接保护等。工作参数指标:额定功率:1KW~5KW;输入电压:DC12V/24V/48V;输出电压:AC220V/110V;输出频率:50HZ±0.05Hz;逆变效率:95%。
该家庭式太阳能发电系统的总投资约为6.61万元,具体预算如表3-5所示。

8.2、系统的经济效益 节约的电量计算如下:

式中 PA为太阳能电池板的最大功率量,该系统为1.7KW;T0为平均峰值日照时数,4.33h;η1为蓄电池充电效率(0.80~0.90);η2为方阵表面由于尘污遮蔽或老化引起的修正系数,通常可取0.9~0.95;η3为逆变器的效率通常可取0.9~0.98;E0为线路传输损耗,综合考虑可取0.05;N为每年的天数,通常可取365。
每年节约的用电量:P=2138.69 kW.h
年节约电费A1=1132.24 kWh×0.56元=1191.66元
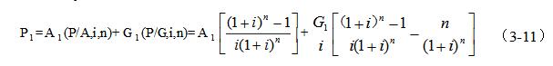
此外还有个对应电价上调节约的增加额G1=1132.24 kW.h×0.04元=85.54元 分别利用等额收付(Uniform Series Present Worth Factor)和递增等差收付序列(Present Worth Factor of the Uniform Gradient Series)现值计算公式,25年节约电费现值P1计算过程如下:

式中i是对应于可再生能源系统的社会年利率(10%),n是光伏发电系统的太阳能电池组件工作年限, A1是每年光伏发电系统节省的等年值电费, G1是光伏发电系统每年节省的因电价预期上调增加的等差变额电费。

8.3、系统的社会效益
根据专家统计:每节约 1度(千瓦时)电,就相应节约了0.4千克标准煤,同时减少污染排放0.272千克碳粉尘、0.997千克二氧化碳(CO2)、0.03千克二氧化硫(SO2)、0.015千克氮氧化物(NOX)。
则该系统每年可以为国家节省发2138.69度电所消耗的标准煤0.86吨,减少排放污染物0.582吨碳粉尘、2.132吨二氧化碳(CO2)、0.073吨二氧化硫(SO2)、0.032吨氮氧化物(NOX)。
经过计算可以知道,目前家庭式太阳能系统的造价成本相对较高,但是可以用于偏远地区。当然了我们不能只考虑到它的经济效益,还要考虑其巨大的社会效益。随着光伏发电技术的提高,以及国家对新型能源扶持力度的加大,家庭式太阳能发电系统必将以惠民的价格走入千家万户,创造出巨大的社会效益。
。 (本文来源网友上传,如有侵权,可联系管理员删除)
版权声明:网站转载的所有的文章、图片、音频视频文件等资料的版权归版权所有人所有。如果本网所选内容的文章作者及编辑认为其作品不宜公开自由传播,或不应无偿使用,请及时联络我们,采取适当措施,避免给双方造成不必要的经济损失。