脉冲宽度调制(PWM)是一种对模拟信号电平进行数字编码的方法。通过高分辨率计数器的使用,方波的占空比被调制用来对一个具体模拟信号的电平进行编码。PWM信号仍然是数字的,因为在给定的任何时刻,满幅值的直流供电要么完全有(ON),要么完全无(OFF)。电压或电流源是以一种通(ON)或断(OFF)的重复脉冲序列被加到模拟负载上去的。通的时候即是直流供电被加到负载上的时候,断的时候即是供电被断开的时候。只要带宽足够,任何模拟值都可以使用PWM进行编码。多数负载(无论是电感性负载还是电容性负载)需要的调制频率高于10Hz,通常调制频率为1kHz到200kHz之间。许多微控制器内部都包含有PWM控制器。
一、NE555PWM脉宽调制电路
PWM称之为脉冲宽度调制信号,利用脉冲的宽度来调整亮度,也可用来控制DC马达。PWM脉冲宽度调制信号的基本频率至少约400HZ-10KHZ,当调整LED的明或暗时,这个基本的频率不可变动,而是改变这个频率上方波的宽度,宽度越宽则越亮、宽度越窄则越暗。PWM是控制LED的点亮时间,而不是改变输出的电压来控制亮度。

图1-5PWM脉宽调制图片
以下为PWM工作原理:
reset接脚被连接到+V,因此它对电路没有作用。
当电路通电时,Pin2(触发点)接脚是低电位,因为电容器C1开始放电。这开始振荡器的周期,造成第3接脚到高电位。当第3接脚到高电位时,电容器C1开始通过R1和对二极管D2充电。当在C1的电压到达+V的2/3时启动接脚6,造成输出接脚(Pin3)跟放电接脚(Pin7)成低电位。
当第3接脚到低电位,电容器C1起动通过R1和D1的放电。当在C1的电压下跌到+V的1/3以下,输出接脚(Pin3)和放电接脚(Pin7)接脚到高电位并使电路周期重复。Pin5并没有被外在电压作输入使用,因此它与0.01uF电容器相接。
电容器C1通过R1及二极管,二极管一边为放电一边为充电。充电和放电电阻总和是相同的,因此输出信号的周期是恒定的。工作区间仅随R1做变化。
PWM信号的整体频率在这电路上取决于R1和C1的数值。公式:频率(Hz)=1.44/(R1*C1)
二、利用555定时器实现宽范围脉宽调制器(PWM)
脉宽调制器(PWM)常常用在开关电源(稳压)中,要使开关电源稳压范围宽(即输入电压范围大),可利用555定时器构成宽范围PWM。
仅需把一个二极管和电位计添加到异步模式运转的555定时器上,就产生了一个带有可调效率系数为1%到99%的脉宽调制器(图1)。它的应用包括高功率开关驱动的电动机速度控制。

图1:在555定时器电路中增加一个二极管和电位计可构成一个宽范围PWM
这个电路的输出可以驱动MOSFET去控制通过电动机的电流,达到平滑控制电动机速度90%左右。这也应用于灯光的控制,灯光的强度可得以有效控制。
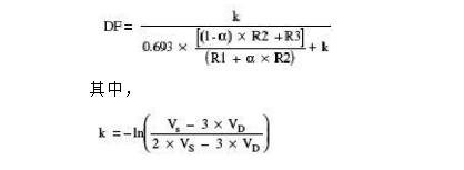
另一个应用是在开关式电源。PWM调整允许一个可变的输出电压。可通过555定时器(5个引脚)VC终端的反馈来调节电压。一个超过调节阈值限制的输出电压将提前结束基于周期循环的PWM信号,以维持输出电压的稳定。微处理器可以通过数字电位计直接调节PWM去控制电动机速度、灯光强度或者电源输出电压。对于周期因子(DF):

而a是终端2和终端1之间电阻与终端3和终端1之间电阻的比值。选R3=R1,R2=100&TImes;R1,这时DF为1%至99%。如上所述,数字电位计可以代替R2。通过的电流有限是在该应用中使用数字电位计的主要约束。对于一个100kΩ的数字电位计,R1和R3可以达到1kΩ,则峰值电流为5mA。
标准二极管可在递减线性下当作D来使用。对于理想的二极管,k=0.693,则有:

DF和α之间为线性关系。图2显示了当α变化时VOUT的波形。

三、由555芯片组成的脉宽调制(PWM)电路

图示出简单的脉宽调制电路及其波形。时钟输入Ue 由555 的引脚2 加入,调制输入电压Ue 由引脚5输入,因此,输出电压UA脉冲的宽度即与调制信号成正比。改变RA.C的数值,可以改变输出电压的波形。
四、555组成的脉冲宽度调制电路
如图5-26所示,555和R2.C 等接成可控单稳态电路。由于555的5脚连至基片上的上比议器A1的反相输人端,因而政变5脚上的外加控制电压,就可政变555的阈值电平,则随调制输人信号的变化,输出的脉冲宽度会发生相应改变,产生脉冲调宽的效果,如图(b)所示。

单稳电路的初始状态是3脚输出呈“0”电平;当触发时钟来后,3脚呈“1”电平。此后,Ci 通过R。充电,C 上的电压变化规律为

。 (本文来源网友上传,如有侵权,可联系管理员删除)
版权声明:网站转载的所有的文章、图片、音频视频文件等资料的版权归版权所有人所有。如果本网所选内容的文章作者及编辑认为其作品不宜公开自由传播,或不应无偿使用,请及时联络我们,采取适当措施,避免给双方造成不必要的经济损失。