• 周三. 10 月 15th, 2025

正弦稳态电路的三要素(频率、幅值、初相位) – 信号处理电子电路图

5 月 15, 2019

正弦交流电正弦量三要素:频率、幅值、初相位

周期、频率与角频率

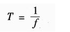
周期是正弦量变化一周所需要的时间,用符号T表示,单位是秒(s)。频率则是每秒钟内正弦量变化的次数,用符号f表示,单位是赫兹(Hz)。显然,周期与频率之间互为倒数,即:

正弦稳态电路的三要素(频率、幅值、初相位)

我国电力系统采用的标准频率(简称工频)是50Hz,周期为0.02s,而美国、日本等国电力标准频率为60Hz。在其他技术领域内还使用着不同频率的交流电,如中频感应炉的频率是500~ 8000Hz,无线电通讯的频率高达几十万至几亿赫兹。

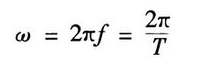
正弦量变化的快慢,用每秒变化多少次(频率f)来表示,而每变化一次,对正弦函数而言,正好变了360°电角度,或2π弧度,因而用每秒变化多少弧度(称为角频率ω)也是表示正弦量变化快慢的方法,显然:

正弦稳态电路的三要素(频率、幅值、初相位)

工频交流电的角频率ω=2π&TImes;50=314rad/s(弧度/秒 )。

幅值与有效值

正弦量随时间变化过程中出现的最大数值称为幅值,也叫最大值,即为式前文中介绍的Im和Um。对于一个给定的正弦量,其幅值是恒定不变的,是表示正弦量的一个要素。然而,幅值只是特定瞬时出现的数值,它不能用来反映正弦量做功的效果,为此,引入了“有效值”的概念,用有效值来衡量交流电做功的能力。正弦交流电流、电压的有效值分别用符号U和I来表示。

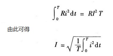
正弦电流的有效值是根据电流的热效应来确定的。规定如果正弦电流i通过电阻R时,在一个周期内电阻R所消耗的电能与某直流电流I通过同一电阻R在同样长的时间内所消耗的电能相同,则该直流电流I的数值就是正弦电流i的有效值,如图下图所示。

正弦稳态电路的三要素(频率、幅值、初相位)

正弦电流的有效值I计算方法如下:

正弦电流在一个周期T内,电阻上所消耗的电能为:

正弦稳态电路的三要素(频率、幅值、初相位)

在相同时间内,直流电流在电阻上所消耗的电能:

正弦稳态电路的三要素(频率、幅值、初相位)

令两式相等,即:

正弦稳态电路的三要素(频率、幅值、初相位)

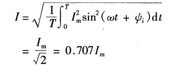
因此,有效值又叫做均方根值或方均根值。将正弦电流i=Imsin(ωt+ψi)带入上式中得:

正弦稳态电路的三要素(频率、幅值、初相位)

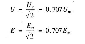
同理,对于正弦电压、电动势分别有:

正弦稳态电路的三要素(频率、幅值、初相位)

通常工农业生产所用的照明电压为220V,就是正弦电压的有效值。其最大值为220√2=311V。电气设备额定值中所标明的额定电压和电流均是指有效值。测量所用的交流电流表和电压表也是按有效值来刻度的。说明某电气设备或元件的耐压要求有时会用最大值标注。
。 (本文来源网友上传,如有侵权,可联系管理员删除)

版权声明:网站转载的所有的文章、图片、音频视频文件等资料的版权归版权所有人所有。如果本网所选内容的文章作者及编辑认为其作品不宜公开自由传播,或不应无偿使用,请及时联络我们,采取适当措施,避免给双方造成不必要的经济损失。